×
模态框(Modal)标题
在这里添加一些文本
关闭
关闭
提交更改
取消
确定并提交
×
模态框(Modal)标题
×
中文
|
English
Toggle navigation
天然气勘探与开发
首页
刊物简介
编委会
投稿指南
期刊订阅
过刊浏览
出版伦理
联系我们
Email Alert
English
图/表 详细信息
基于组合预测理论的天然气产量峰值模型
余果, 李海涛, 方一竹
天然气勘探与开发, 2025, 48(
1
): 87-96. DOI:
10.12055/gaskk.issn.1673-3177.2025.01.011
图1
3种单一峰值模型预测四川盆地常规气产量结果图
本文的其它图/表
表1
3种常用天然气产量峰值预测模型计算公式统计表
表2
近6年四川盆地常规气历史产量与3种单一峰值模型预测结果对比表
表3
新模型所有子集误差值结果表
图2
新模型与3种单一模型预测结果对比图
表4
新模型预测结果误差分析表
图3
不同模型预测结果平均相对误差对比图
图4
2018—2023年不同模型预测结果误差占比图
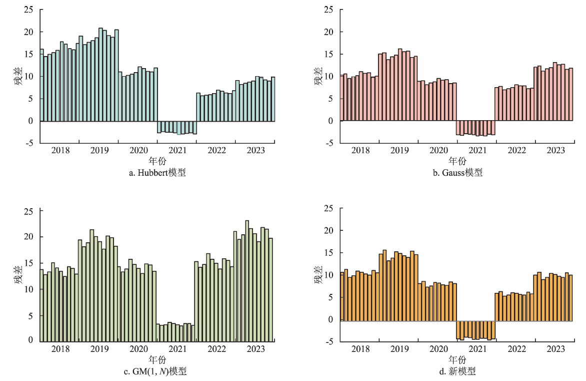
图5
不同模型残差分析结果图
图6
不同模型标准化残差对比图